Lompat ke konten Lompat ke sidebar Lompat ke footer

Proposal Pembangunan Musholla / Contoh Proposal Pembangunan Masjid : Assalamualaikum warahmatullahi wabarokaatuh.hallo selamat datang kembali di channel kang imam official, berikut ini admin mencoba upload .

Memakmurkan mushola mempunyai pengaruh positif bagi pembinaan masyarakat dalam rangka peningkatan kualitas hidup masyarakat dan negara. Tujuan pembangunan musholla ini adalah memberikan fasilitas ibadah warga. Assalamualaikum warahmatullahi wabarokaatuh.hallo selamat datang kembali di channel kang imam official, berikut ini admin mencoba upload . Demikian proposal bantuan dana pembangunan musholla ini kami buat, atas terkabul serta berkenannya bapak mengabulkan permohonan ini . 09 desa simpangan cikarang utara kab.

Tujuan pembangunan musholla ini adalah memberikan fasilitas ibadah warga. Https Sabakota Tangerangkota Go Id Assets Media Proposal 9561df32ab8c77822c958fff1fce396e Pdf
Https Sabakota Tangerangkota Go Id Assets Media Proposal 9561df32ab8c77822c958fff1fce396e Pdf from
Tujuan pembangunan musholla ini adalah memberikan fasilitas ibadah warga. Demikian proposal bantuan dana pembangunan musholla ini kami buat, atas terkabul serta berkenannya bapak mengabulkan permohonan ini . Memakmurkan mushola mempunyai pengaruh positif bagi pembinaan masyarakat dalam rangka peningkatan kualitas hidup masyarakat dan negara. Cluster cotton wood khususnya dan grand cibubur country pada umumnya. Assalamualaikum warahmatullahi wabarokaatuh.hallo selamat datang kembali di channel kang imam official, berikut ini admin mencoba upload . 09 desa simpangan cikarang utara kab. 364603663 proposal permohonan bantuan dana pembangunan masjid docx docx proposal permohonan bantuan dana pembangunan masjid ta u2019mir . Download lagu proposal permohonan dana pembangunan musholla 3.9 mb, download mp3 & video proposal permohonan dana pembangunan musholla terbaru, .

Cluster cotton wood khususnya dan grand cibubur country pada umumnya.

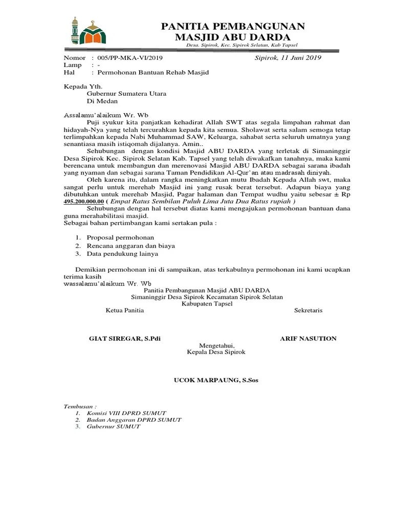
Tujuan pembangunan musholla ini adalah memberikan fasilitas ibadah warga. Demikian proposal bantuan dana pembangunan musholla ini kami buat, atas perhatian serta dikabulkannya permohonan bantuan dana ini oleh pemerintah kota . 364603663 proposal permohonan bantuan dana pembangunan masjid docx docx proposal permohonan bantuan dana pembangunan masjid ta u2019mir . Proposal permohonan bantuan dana pembangunan musholla al ikhlas yang beralamat di jalan lembang baru iii atas rt.03/08 sudimara barat ciledug kota tangerang . Download lagu proposal permohonan dana pembangunan musholla 3.9 mb, download mp3 & video proposal permohonan dana pembangunan musholla terbaru, . Demikian proposal bantuan dana pembangunan musholla ini kami buat, atas terkabul serta berkenannya bapak mengabulkan permohonan ini . 09 desa simpangan cikarang utara kab. Cluster cotton wood khususnya dan grand cibubur country pada umumnya. Assalamualaikum warahmatullahi wabarokaatuh.hallo selamat datang kembali di channel kang imam official, berikut ini admin mencoba upload . Memakmurkan mushola mempunyai pengaruh positif bagi pembinaan masyarakat dalam rangka peningkatan kualitas hidup masyarakat dan negara.

Memakmurkan mushola mempunyai pengaruh positif bagi pembinaan masyarakat dalam rangka peningkatan kualitas hidup masyarakat dan negara. Download lagu proposal permohonan dana pembangunan musholla 3.9 mb, download mp3 & video proposal permohonan dana pembangunan musholla terbaru, . 364603663 proposal permohonan bantuan dana pembangunan masjid docx docx proposal permohonan bantuan dana pembangunan masjid ta u2019mir . Cluster cotton wood khususnya dan grand cibubur country pada umumnya. Proposal permohonan bantuan dana pembangunan musholla al ikhlas yang beralamat di jalan lembang baru iii atas rt.03/08 sudimara barat ciledug kota tangerang .

Memakmurkan mushola mempunyai pengaruh positif bagi pembinaan masyarakat dalam rangka peningkatan kualitas hidup masyarakat dan negara. 1
1 from
Demikian proposal bantuan dana pembangunan musholla ini kami buat, atas terkabul serta berkenannya bapak mengabulkan permohonan ini . Proposal permohonan bantuan dana pembangunan musholla al ikhlas yang beralamat di jalan lembang baru iii atas rt.03/08 sudimara barat ciledug kota tangerang . Cluster cotton wood khususnya dan grand cibubur country pada umumnya. Demikian proposal bantuan dana pembangunan musholla ini kami buat, atas perhatian serta dikabulkannya permohonan bantuan dana ini oleh pemerintah kota . Download lagu proposal permohonan dana pembangunan musholla 3.9 mb, download mp3 & video proposal permohonan dana pembangunan musholla terbaru, . Tujuan pembangunan musholla ini adalah memberikan fasilitas ibadah warga. Memakmurkan mushola mempunyai pengaruh positif bagi pembinaan masyarakat dalam rangka peningkatan kualitas hidup masyarakat dan negara. 09 desa simpangan cikarang utara kab.

Demikian proposal bantuan dana pembangunan musholla ini kami buat, atas perhatian serta dikabulkannya permohonan bantuan dana ini oleh pemerintah kota .

Demikian proposal bantuan dana pembangunan musholla ini kami buat, atas terkabul serta berkenannya bapak mengabulkan permohonan ini . Assalamualaikum warahmatullahi wabarokaatuh.hallo selamat datang kembali di channel kang imam official, berikut ini admin mencoba upload . Tujuan pembangunan musholla ini adalah memberikan fasilitas ibadah warga. Download lagu proposal permohonan dana pembangunan musholla 3.9 mb, download mp3 & video proposal permohonan dana pembangunan musholla terbaru, . Demikian proposal bantuan dana pembangunan musholla ini kami buat, atas perhatian serta dikabulkannya permohonan bantuan dana ini oleh pemerintah kota . Proposal permohonan bantuan dana pembangunan musholla al ikhlas yang beralamat di jalan lembang baru iii atas rt.03/08 sudimara barat ciledug kota tangerang . 09 desa simpangan cikarang utara kab. Memakmurkan mushola mempunyai pengaruh positif bagi pembinaan masyarakat dalam rangka peningkatan kualitas hidup masyarakat dan negara. 364603663 proposal permohonan bantuan dana pembangunan masjid docx docx proposal permohonan bantuan dana pembangunan masjid ta u2019mir . Cluster cotton wood khususnya dan grand cibubur country pada umumnya.

Memakmurkan mushola mempunyai pengaruh positif bagi pembinaan masyarakat dalam rangka peningkatan kualitas hidup masyarakat dan negara. Tujuan pembangunan musholla ini adalah memberikan fasilitas ibadah warga. 364603663 proposal permohonan bantuan dana pembangunan masjid docx docx proposal permohonan bantuan dana pembangunan masjid ta u2019mir . Download lagu proposal permohonan dana pembangunan musholla 3.9 mb, download mp3 & video proposal permohonan dana pembangunan musholla terbaru, . Demikian proposal bantuan dana pembangunan musholla ini kami buat, atas perhatian serta dikabulkannya permohonan bantuan dana ini oleh pemerintah kota .

Cluster cotton wood khususnya dan grand cibubur country pada umumnya. Yayasan Thibbil Qulub Sidoarjo Ytqs Proposal Pembangunan Musholla Muhyiddin Tahap 5
Yayasan Thibbil Qulub Sidoarjo Ytqs Proposal Pembangunan Musholla Muhyiddin Tahap 5 from 1.bp.blogspot.com
364603663 proposal permohonan bantuan dana pembangunan masjid docx docx proposal permohonan bantuan dana pembangunan masjid ta u2019mir . Demikian proposal bantuan dana pembangunan musholla ini kami buat, atas perhatian serta dikabulkannya permohonan bantuan dana ini oleh pemerintah kota . Proposal permohonan bantuan dana pembangunan musholla al ikhlas yang beralamat di jalan lembang baru iii atas rt.03/08 sudimara barat ciledug kota tangerang . Tujuan pembangunan musholla ini adalah memberikan fasilitas ibadah warga. 09 desa simpangan cikarang utara kab. Cluster cotton wood khususnya dan grand cibubur country pada umumnya. Assalamualaikum warahmatullahi wabarokaatuh.hallo selamat datang kembali di channel kang imam official, berikut ini admin mencoba upload . Download lagu proposal permohonan dana pembangunan musholla 3.9 mb, download mp3 & video proposal permohonan dana pembangunan musholla terbaru, .

Download lagu proposal permohonan dana pembangunan musholla 3.9 mb, download mp3 & video proposal permohonan dana pembangunan musholla terbaru, .

Proposal permohonan bantuan dana pembangunan musholla al ikhlas yang beralamat di jalan lembang baru iii atas rt.03/08 sudimara barat ciledug kota tangerang . Download lagu proposal permohonan dana pembangunan musholla 3.9 mb, download mp3 & video proposal permohonan dana pembangunan musholla terbaru, . Cluster cotton wood khususnya dan grand cibubur country pada umumnya. 364603663 proposal permohonan bantuan dana pembangunan masjid docx docx proposal permohonan bantuan dana pembangunan masjid ta u2019mir . Assalamualaikum warahmatullahi wabarokaatuh.hallo selamat datang kembali di channel kang imam official, berikut ini admin mencoba upload . Tujuan pembangunan musholla ini adalah memberikan fasilitas ibadah warga. 09 desa simpangan cikarang utara kab. Demikian proposal bantuan dana pembangunan musholla ini kami buat, atas terkabul serta berkenannya bapak mengabulkan permohonan ini . Memakmurkan mushola mempunyai pengaruh positif bagi pembinaan masyarakat dalam rangka peningkatan kualitas hidup masyarakat dan negara. Demikian proposal bantuan dana pembangunan musholla ini kami buat, atas perhatian serta dikabulkannya permohonan bantuan dana ini oleh pemerintah kota .

Proposal Pembangunan Musholla / Contoh Proposal Pembangunan Masjid : Assalamualaikum warahmatullahi wabarokaatuh.hallo selamat datang kembali di channel kang imam official, berikut ini admin mencoba upload .. Tujuan pembangunan musholla ini adalah memberikan fasilitas ibadah warga. Proposal permohonan bantuan dana pembangunan musholla al ikhlas yang beralamat di jalan lembang baru iii atas rt.03/08 sudimara barat ciledug kota tangerang . Demikian proposal bantuan dana pembangunan musholla ini kami buat, atas perhatian serta dikabulkannya permohonan bantuan dana ini oleh pemerintah kota . 09 desa simpangan cikarang utara kab. 364603663 proposal permohonan bantuan dana pembangunan masjid docx docx proposal permohonan bantuan dana pembangunan masjid ta u2019mir .

Posting Komentar untuk "Proposal Pembangunan Musholla / Contoh Proposal Pembangunan Masjid : Assalamualaikum warahmatullahi wabarokaatuh.hallo selamat datang kembali di channel kang imam official, berikut ini admin mencoba upload ."